Ответ.
Задать вопрос!
Вход Регистрация
Задать вопрос!
Все категории
  • Фотография и видеосъемка
  • Знания
  • Другое
  • Гороскопы, магия, гадания
  • Общество и политика
  • Образование
  • Путешествия и туризм
  • Искусство и культура
  • Города и страны
  • Строительство и ремонт
  • Работа и карьера
  • Спорт
  • Стиль и красота
  • Юридическая консультация
  • Компьютеры и интернет
  • Товары и услуги
  • Темы для взрослых
  • Семья и дом
  • Животные и растения
  • Еда и кулинария
  • Здоровье и медицина
  • Авто и мото
  • Бизнес и финансы
  • Философия, непознанное
  • Досуг и развлечения
  • Знакомства, любовь, отношения
  • Наука и техника
Fiesta28 [93]
6 лет назад
10

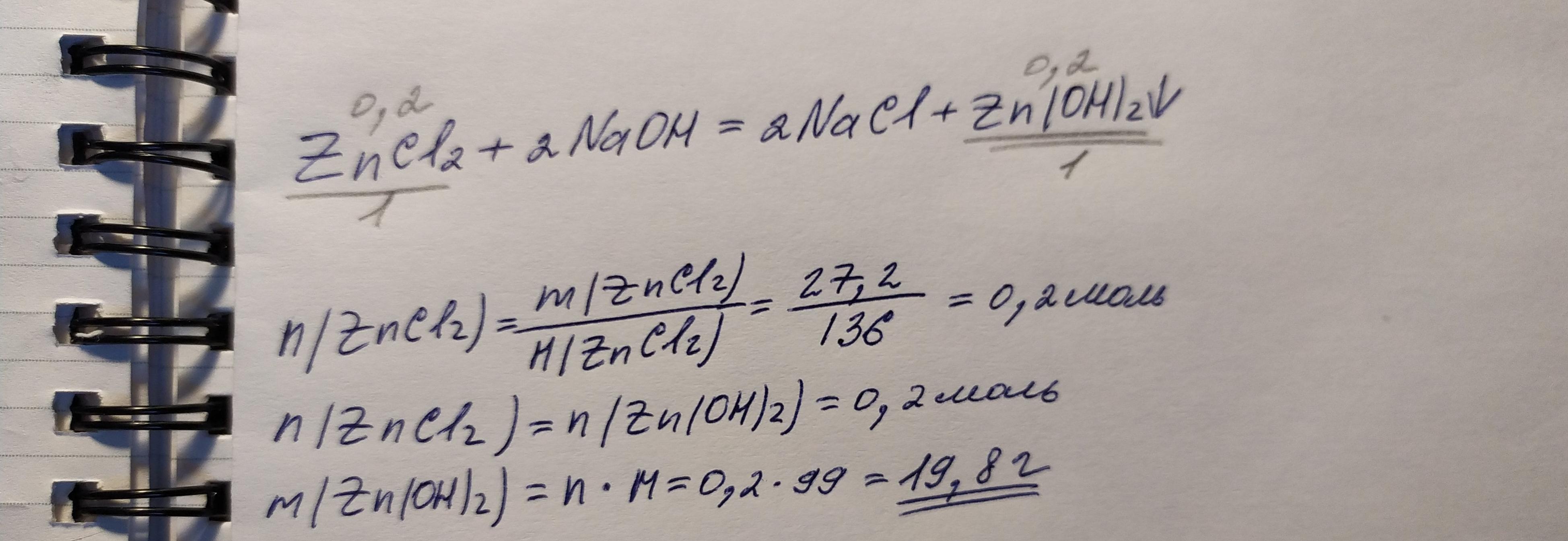
Обчисліть масу цинк гідроксиду, що утвориться при взаємодії 27,2 г цинк хлориду з натрій гідроксидом.

Обчисліть масу цинк гідроксиду, що утвориться при взаємодії 27,2 г
цинк хлориду з натрій гідроксидом.

Знания
Химия
1 ответ:
GULI126 лет назад
0 0

Ответ: 19.8 г

_________________

Читайте также
Обчисліть Масу цукру та води для приготування 350 г розчину з масовою часткою цукру 25\%
Валентина 9992
Маса води становить 87,5 грам а води 262,5 грам (але це ще не перевірено)
0 0
3 года назад
Решите тест,пожалуйста
bujokum
1-В(гомогенной является реакция, где участвуют два газа)
2-Г
3-В
4-А
5-А
0 0
12 дней назад
Рассчитать объём кислорода при н. у., если его масса равна 7г
freshAF [126]
V=m/p
pк=1,43кг/м^3
7г=0,007кг
V=0,007 кг/1,43кг=0.004м^3
0 0
9 месяцев назад
В самом верху фотографии образец, помогите пожалуйста сделать домашнюю работу, так как в самом верху. Буду очень благодарен!
валентина гутыро [17]
Na+ N-3
Na3 +3, N-3
Cu +2 Cl -
Cu+2 Cl2 -2
P+5 Cl -
P+5 Cl-5
Mn+4 O-2
Mn+4 O2 -2
H+ S-2
H2 +2 S -2
Ca +2 C-
Ca+2 C-2
Mg+2 O -2
верхние строчки это заряд элемента.нижняя какой заряд в формуле.
не поняла твои 2 вещества, которые идут первыми в столбике
0 0
4 года назад
СРОЧНО: Формула водородного соединения серы, название. Формула водородного соединения фосфора, название. Формула водородного с
proba-proba

Формула водородного соединения серы, название-H2S-сероводород;

             Формула водородного соединения фосфора, название-PH3-фосфин

             Формула водородного соединения азота, название- NH3-аммиак

             Формула водородного соединения углерода, название-CH4-метан

             Формула водородного соединения кремния, названиеSiH4-силан-яд!!!

0 0
6 лет назад
Прочитать ещё 2 ответа
Смотрите также:
  • Факторы, позволяющие сместить химическое равновесие реакции, уравнение которой СаО + СО2 ↔ СаСО3 + Q, в сторону образования прод
    15·1 ответ
  • Помогите пожалуйста. Вычислить сколько молей карбоната кальция заключается в 40г CaCO3
    6·1 ответ
  • напишите реакции приведенных ниже генетических связей: AlCl3->Al(OH)3->Al2O3->Al2(SO4)3->Al(OH)3->Al(OH)2Cl
    8·1 ответ
  • Назовите элемент который наиболее распространён во Вселенной.
    7·1 ответ
  • 2. Окислительно-восстановительной является реакция1) FeCI2+ 2NaOH = Fe(OH)2 + 2NaCI2) NaOH +HCI = H20 + NaCI3) CaCO3 + 2HCI = Ca
    15·2 ответа
  • Напишите пожалуйста ионное уравнение силиката калия+соляная кислота
    7·1 ответ
  • По какой схеме реакция не протекает? А) К+Н2О--> В)Zn+H2SO4(разб.)--> C)Zn+HCl--> D)Fe+CuSO4--> E)Ag+HCl--> 10 БА
    8·1 ответ
  • СРОЧНО!!!Дам 15 балловРазместите формулы следующих летучих водородных соединений в порядке увеличения массовой доли водорода в н
    8·1 ответ
  • Какие физические явления, а какие химические? а) излучение света спиралью электрической лампы б) толчение сткла
    5·1 ответ
  • Что такое биографический круговорот?
    12·1 ответ
Добавить ответ
Вход
Не зарегистрированы? Пройти быструю регистрацию
Регистрация
Вход Регистрация
Задать вопрос!